Abstract
Introduction. As Ph-positive (Ph+) ALL in adults remains less favorable in prognosis than other ALL, and by expert opinion needs non-intensive chemotherapy protocols and new generation TKI with the majority of pts undergoing allo-HSCT, the results of treatment based on the different approach: de-escalated but continuous treatment with the change of TKI according to the molecular response and allo-HSCT may be of interest and provide new insights to the treatment of Ph+ ALL.
Aim. To evaluate survival and outcomes in different risk groups in pts with Ph+ ALL in the RALL-study (Ph+ALL-2009, Ph+ALL-2012 and Ph+ALL-2012m protocols).
Patients and methods. Between January 2010 and June 2021, 74 new Ph+ ALL cases were diagnosed in 6 centers of the RALL-group and 63 of them were evaluable for analysis (median age 37 years (17-73), m/f 32(43%)/42(57%), CNS disease in 13(21%) pts, WBC>30*10 9/l in 27(43%) pts, bcr/abl transcript p190/p210/p190+210 in 31(60%)/12(23%)/9(17%) cases). Standard cytogenetic was performed in all 63 pts, 1 had no mitosis, 6(10%) monosomy 7 and 2 (3%) complex karyotypes were detected.
All pts were treated according to RALL protocols with continuous Imatinib. Ph+ALL-2009 protocol included 600 mg Imatinib with prednisone, VNCR, L-asp, Dauno, Cph, followed by 6-MP and MTX. Imatinib had to be changed to Dasatinib (140 mg) after non-achievement of molecular complete response (MolCR) on day 70. MolCR was defined as bcr/abl chimeric transcript <0,01% by PCR with 10 -4 sensitivity. In protocols Ph+ALL-2012 and Ph+ALLm, we de-intensified chemotherapy: reduced Dauno, Cph and L-asp doses, accordingly. All pts were considered as candidates for allogeneic HSCT in CR1 if HLA-identical donor was available. 36 (57%) pts underwent HSCT in the first-line therapy: 2(6%) autologous, 9 (25%) matched related, 20 (56%) matched unrelated and 5 (13%) haplo-HSCT.
Results. Hematological complete remission (CR) was achieved in 60 (95%) of 63 pts (1 early death and 2 refractory cases occurred). On day 70, MolCR was achieved in 21(38%) of 56 pts. Death on therapy in CR (within 5 months of induction/consolidation) was registered in 4 (6%) cases. The major causes of the non-relapsed mortality in unrelated allo-HSCT (n=9) were aGVHD and severe infections, at a median +4 months after HSCT.
The 5-year overall survival (OS) and disease-free survival (DFS) for all 63 pts were 58% and 45%, respectively. The long-term outcome on different protocols (Ph+ALL-2009, Ph+ALL-2012 and Ph+ALL-2012m) were similar: 3-year OS - 55% vs 51% vs 75% (p=0,27), 3-year DFS - 56% vs 44% vs 50% (p=0,54), respectively.
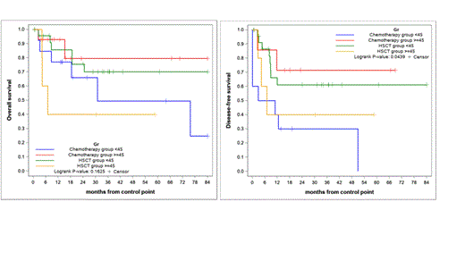
The 5-year OS was 65% vs 61% (p=0,84), and DFS was 57% vs 31% (p=0,24) in transplanted vs non-transplanted patients by landmark analysis with a median 5,3 month of CR. Landmark analysis of 5-year OS for transplanted and non-transplanted pts depending on age showed no significant difference for both groups: >45y 40% vs 80%; and ≤45y 70% vs 49%, respectively (p=0,1625), although data for 5-year OS was still not mature at the time of analysis. DFS was significantly different in transplanted vs. non-transplanted pts: >45y 40% vs 71%; ≤45y 61% vs 0%; respectively (p=0,0439).
In a multivariate analysis for Ph+ ALL among common risk factors (age > 45y, WBC>30, LDH>2N, immunophenotype, late MolCR >70d, CNS leukemia) WBC>30, HSCT were significant risk factors for OS and DFS.
Conclusions. Our data demonstrate that de-intensification of chemotherapy does not affect the efficacy of Ph+ ALL therapy in the era of TKIs. We confirmed that patients older than 45y old could be treated by chemotherapy with TKI (new generation TKI if needed) only, but all pts younger than 45y should be considered for HSCT.
No relevant conflicts of interest to declare.
